Many professionals are rejoicing over the news that the final draft of the Implementing Rules and Regulations (IRR) for the Continuing Professional Development Law of 2016 (CPD Law) reduced the requirement to just 15 units every 3 years.
Although deemed necessary to upgrade and update professionals in their respective fields, the CPD Law has also been viewed as a huge burden among professionals.
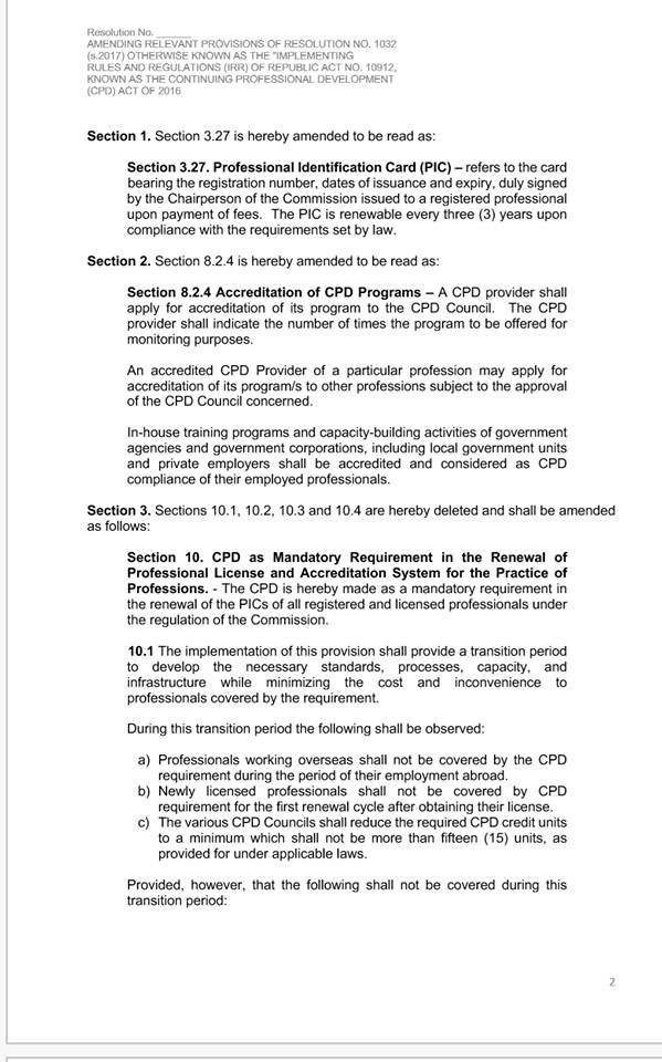
Everyone who needed to renew their license at the Professional Regulation Commission (PRC) need to present proof that they have acquired the necessary CPD units. But the required CPD units vary depending on each regulated profession.

Most professions need to acquire 45 CPD units to renew their license but there are those with very high requirements, such as 120 CPD units for accountants! With professional licenses valid only for 3 years, this gives professionals just that length of time to acquire the units. But many of them soon found out that getting all those units can be very expensive!
Points that professionals can acquire in seminars and activities vary, depending on a lot of factors. Moreover, most professionals have to earn their CPD units on personal time, paying for the expenses on the seminar fee, fare, hotel and food, and other incidentals out of their own pockets.
New Updates on CPD Law
On February 4, the PRC announced that it will temporary lift the total enforcement of the CPD law for an indefinite period.
Until the new IRR is released, newly licensed professionals and OFWs are exempted from complying with the CPD requirements, under the transition period. Meanwhile, all councils were directed to reduce the requirement to just 15 CPD units.
Under the final draft of the new IRR, the following provisions are included:
- CPD is still a mandatory requirement for all licensed professionals. However, the number will be decreased to just 15 units every 3 years.
- For teachers, CPD forms will be aligned with the DepEd to lessen the burden of paperwork.
- In-house training and capacity-building activities of government agencies and corporations, including local government units and private employers shall be credited and considered as CPD compliance.
- More good news awaits professionals after it was announced that “until the PRC complies with certain pre-conditions, all seminars attended by licensed professionals should be recognized as CPD units and shall be accepted as valid for the renewal of their licenses.”
Read the final draft of the IRR for the CPD Law here:




Image credits: The Summit Express




My wife and I went to PRC Mandaue today (Feb.14, 2019) to renew our licenses as scheduled with a smile on our faces because of this news. Accordingly, newly licensed professionals shall be exempted from CPD requirements for their first renewal and that all councils were directed to reduce the requirement to just 15 CPD units during transition period. It’s my first time to renew my license since passing the LET last 2016 and I have not taken any CPD training or seminars yet. I only have an NCII for computer system servicing. To our disappointment, I was told that I still need to get 45 units of CPD or sign an undertaking that I will complete these units plus another 45 units for the next renewal before I can renew my license. The same case with my wife, she was told that she needs to complete the CPD units required for CPAs or sign the undertaking (she only has 32 CPD units). I showed them this news (in print) but the person in charge for the renewal said that they have not received any memo or circular about this news and therefore they will follow full implementation. Is this fake news? Who do we verify and clarify this information to?
Hi Sir Allan. Our article above was about the “Final Draft” of the CPD Law and this article is not a fake news. In fact, it’s now a law. Please read here: https://buhayteacher.com/new-irr-for-cpd-law-takes-effect-on-march-1-lowers-cpd-requirement-to-15-units/. We are sorry about your experience but I think you have tried to renew your licenses at the time when these amendments on the IRR of CPD law were still a draft. Also, we were not quite sure why you weren’t able to renew your licenses but our co-teachers didn’t experience such hassle when they renewed their licenses last January 2019. I hope that you’ll be able to successfully renew your licenses Sir. Please do let us know. Thank you and God bless.